大東海無錫泵業有限公司
銷售總部:江蘇無錫新吳區長江路21-1號創源大廈309
生產基地:無錫市東港鎮
銷售熱線:0510-82108358
銷售熱線:0510-82116911
聯系電話:13395114288
QQ: 2634113519


大東海無錫泵業有限公司
銷售總部:江蘇無錫新吳區長江路21-1號創源大廈309
生產基地:無錫市東港鎮
銷售熱線:0510-82108358
銷售熱線:0510-82116911
聯系電話:13395114288
QQ: 2634113519




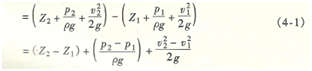
相應于端面1-1處的位置水頭、******壓力水頭和速度水頭(m);
相應于斷面2-2處的位置水頭、******壓力水頭和速度水頭(m)。為了查看水泵的工作揚程,在水泵的進、出口斷面處分別安裝真空表和壓力表。真空表和壓力表的讀數為相對壓力,則有
可以忽略;實際工程中△Z也很小,也可以忽略不計。則式(4—5)在實際應用時可寫為